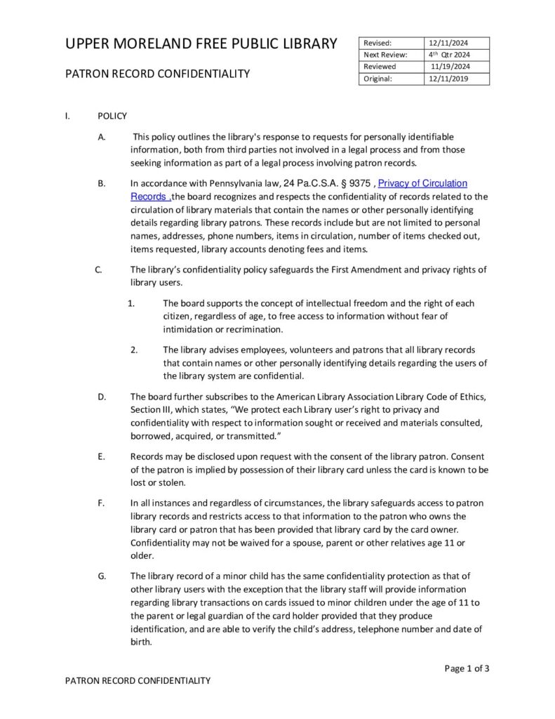
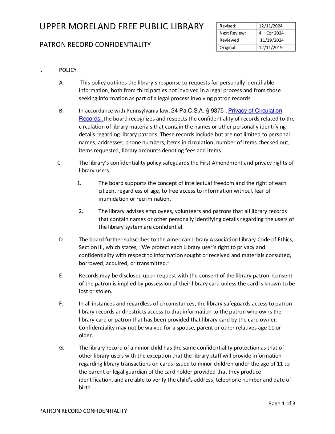
Index of /wp-content/uploads/2026/02

      Name                    Last modified      Size  Description
Parent Directory - Donations-2025-pdf-1..> 2026-02-03 13:05 6.1K Donations-2025-pdf-2..> 2026-02-03 13:05 16K Donations-2025-pdf-7..> 2026-02-03 13:05 127K Donations-2025-pdf.jpg 2026-02-03 13:05 215K Donations-2025.pdf 2026-02-03 13:05 473K Patron-Record-Confid..> 2026-02-03 13:09 6.1K Patron-Record-Confid..> 2026-02-03 13:09 16K Patron-Record-Confid..> 2026-02-03 13:09 132K Patron-Record-Confid..> 2026-02-03 13:09 233K Patron-Record-Confid..> 2026-02-03 13:09 233K